SELAMAT DATANG DI WEBSITE SMP NEGERI 2 SAMBONG, KAB. BLORA, JAWA TENGAH

Kamis, 17 September 2020

MATEMATIKA KELAS 9| PERSAMAAN KUADRAT ( JUMLAH DAN HASIL KALI AKAR - AKAR PERSAMAAN KUADRAT )

 

Pada pertemuan yang lalu kalian telah belajar tentang bagaimana menentukan akar - akar persamaan kuadrat,  yaitu xdan x2

Kali ini mari kita mempelajari tentang jumlah dan hasil kali akar - akar kuadrat

  Jumlah dan hasil kali akar – akar persamaan kuadrat

Misal akar – akar dari persamaan kuadrat ax2 + bx + c = 0 adalah x1 dan x2. Rumus pemyelesaian dari persamaan kuadrat tersebut :

Maka jumlah akar-akar tersebut adalah :

Atau :

Sedangkan hasil kali akar – akar tersebut adalah :
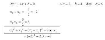
Contoh :
Jawab
Jenis akar – akar persamaan kuadrat
Akar – akar persamaan kuadrat ax2 + bx + c = 0 adalah x1 dan x2 dimana
D = b2 – 4ac adalah diskriminan

Jenis akar – akar persamaan berdasarkan diskriminan adalah :

1. Jika D > 0, Maka terdapat dua akar real yang tidak sama ( x1 ≠ x2 )

2. Jika D = 0, Maka akar – akarnya kembar atau sama dan real ( x1 ≠ x2 ).

3. Jika D < 0, Maka kedua akar tidak real atau tidak mempunyai akar – akar yang real. 

Contoh :

1). Tentukan q supaya persamaan x2 + qx + a = 0 mempunyai dua akar nyata dan berlainan.

Jawab

x2 +qx + q = 0

mempunyai dua kar berlainan, maka D > 0

D = b2 - 4ac = q2 -4 . 1 . q = q2 – 4q > 0 

Atau

q (qa – 4 ) > 0

q1 = 0 ; ( q – 4 ) = 0 →q2 = 4

Maka : q < 0 ataua q > 4. 

2). Tentukan nilai p agar persamaan kuadrat x2 – ( 2 + p)x + 4= 0 mempunyai akar – akar kembar.

Jawab :

x2 – ( 2 + p)x +4 = 0

akar – akarnya kembar, maka D = 0

D = b2 – 4ac

= - ( 2 + p ) 2 -4 . 1. 4

= 4 + 4p + p2 – 16

p2 + 4p - 12 = 0

(p + 6 ) ( p – 2 ) = 0

p1 = -6 dan p2 = 2

Contoh Soal dan Penyelesaian

 1). Apabila m menjalani bilangan – bilangan nyata, selidikilah banyaknya akar – akar persamaan : x2 – 2 (1 + 3m) x + 7 (3 + 2m) =0

Jawab

Banyaknya akar – akar persamaan kuadrat ditentukan adanya diskriminan itu. Kita hitung dahulu besarnya diskriminan itu yaitu :

D = 4 (1 + 3m)2 – 28 (3 + 2m)

= 4 + 24m + 36m2 – 84 – 56m

= 36m2 – 32m – 80

Ada 3 kemungkinan :

a). Kalau D > 0 atau 36m2 – 32m 80 > 0 maka

36m2 – 32m-80 > 0 disederhanakan menjadi

4 (9m2 – 8m – 20) > 0

4 (9m + 10) (m – 2 ) > 0

Yang berarti persamaan di atas mempunyai dua akar yang nyata dan berlainan 

b). Kalau D = 0 atau 36m2 – 32m - 80 = 0 akan memberikan m1 = 2 atau m2 = 910−

untuk m1 dan m2 sebesar tersebut diatas, maka persamaan tersebut diatas mempunyai dua akar yang nyata dan kembar.

c). Kalau D < 0 atau 36m2 – 32m 80 < 0, maka persamaan diatas tidak mempunyai akar       yang nyata.

2). Tentukan akar – akar persamaan

x – 4 = 0 → x1 = 4

x – 3 = 0 → x2 = 3

x2 = 3 apabila dimasukkan ke soal, persamaannya tidak terdefinisikan.

Maka akarnya adalah x = 4

selanjutnya untuk mengasah kemampuan kalian, silakan kalian kerjakan latihan soal berikut ini

LATIHAN SOAL

1.    Penyelesaian persamaan kuadrat x2 + px – q = 0 adalah 5 dan -3. Nilai dari 

 adalah ....

a.       15

b.      3

c.       -3

d.      -15  

2.         Persamaan 5x2 – 3x + 2 = 0 memiliki akar – akar yang ....

a.       Real dan berbeda

b.      Real dan kembar

c.       Real dan berbeda tanda

d.    Imajiner

3.         Persamaan kuadrat 2x2 – 4x + 1 = 0 memiliki akar – akar p dan q. Hasil dari p2 + q2 adalah ....

a.       5

b.      3

c.       -3

d.      -5

4.         Penyelesaian dari x2 – 7x + p = 0 adalah q dan r. Jika nilai diskriminan dari persamaan kuadrat tersebut adalah 9, nilai q dan r berturut – turut adalah ....

a.       2 dan 5

b.      2 dan -5

c.       -2 dan 5

d.      -2 dan -5

Jawaban disertai dengan cara menjawab soal, dan dikirim lewat WA ke nomor 081390587404

SELAMAT MENGERJAKAN


 


 

 













 

Tidak ada komentar:

Posting Komentar